Cuando en alguna conversación entre criadores surge la cuestión de si criar es un arte o una ciencia, la tendencia más habitual es considerarlo más un arte que una ciencia y resulta muy habitual escuchar que hay criadores que nacen con ese don.
En ese sentido, si nos retrotraemos al inicio de la cinofilía moderna, el desarrollo de las principales razas caninas se hizo sin tener disponibles los conocimientos de genética que la ciencia ha ido desentrañando con el paso del tiempo. De esta forma, aunque las famosas leyes de Mendel fueron enunciadas en 1865, su trabajo permaneció olvidado durante más de 30 años, y no fue hasta 1909, cuando el biólogo danés Wilhem Ludwig Johannsen propuso el uso de la palabra gen para denominar a la unidad física y funcional de la herencia biológica. Todavía pasaron muchos años más, hasta mediados del siglo XX cuando se impuso el concepto de que los genes son la unidad mínima fundamental que codifica una proteína, si bien con el paso del tiempo se ha visto que hay genes que codifican varias proteínas, por lo que en tiempos más recientes se ha redefinido el concepto de gen como la unidad mínima de función genética, que puede heredarse.
Así pues, si contamos el tiempo desde que Mendel presentó su trabajo, nos encontramos que la Genética se trata e una ciencia que ya cuenta con más de 150 años de antigüedad, si bien su explosión se ha producido en las últimas década y hoy en día es una ciencia que se encuentra en constante desarrollo.
Con esta pequeña introducción, hemos querido poner de manifiesto en que la crianza de perros debería tener mucho más de ciencia que de arte, y el objetivo del presente artículo es exponer algunos conceptos avanzados de esta ciencia aplicada a la crianza canina.
Si nos tomamos la molestia de medir los fenotipos de diferentes perros, observaremos grandes diferencias entre cada individuo. Por ejemplo, en el caso de la altura a la cruz, podemos encontrar dos perros que difieren en su estatura llegando al caso de que alguno de ellos estuviera por encima o por debajo de la estatura que indica su estándar de raza. En este momento un criador responsable se haría la siguiente pregunta: ¿Cuál de los dos perros podría proporcionar una mejor descendencia en la siguiente generación?
Para responder esta pregunta, es preciso poder discernir entre los efectos genéticos y ambientales que pueden influir en la altura de cada uno de los perros, puesto que podría ocurrir que ambos no solo difieran en su genotipo, sino también en el manejo y crianza que tuvo cada uno de ellos durante su fase de crecimiento. Por tanto, cabría preguntarse si el perro que tiene una estatura adecuada es mejor porque su genotipo es apropiado o porque ha recibido una mejor alimentación y unos cuidados apropiados.
Para resolver este tipo de cuestiones se usan los modelos genéticos. Con un modelo genético, resulta factible poder separar los factores genéticos y ambientales que contribuyen al fenotipo.
El modelo genético más sencillo nos dice que el valor fenotípico es la suma del valor genotípico más el efecto ambiental, que podemos representar con la siguiente fórmula: F=G+A.
De esta forma, en términos de variación de fenotipos, podemos escribir que la varianza fenotípica es la suma de la varianza genética en G más la varianza en A. De esta forma con la ecuación podemos identificar cuantas de las diferencias fenotípicas se deben a diferencias genéticas en una población canina determinada, que es algo de suma importancia para desarrollar un programa de cría adecuado, puesto que estos modelos pueden usarse para estimar el mérito genético de los perros y para cuantificar la contribución de los efectos genéticos a la variación fenotípica observada.
Pero este modelo genético, tal y como está formulado resulta algo críptico y resulta necesario trasformar alguno de sus componentes en elementos que resulten más fácilmente medibles.
El valor genotípico de un perro es la suma de los efectos de todos los alelos que afectan el rasgo y las interacciones entre estos alelos.
Por lo tanto, podemos descomponer el valor genotípico en efectos genéticos aditivos de alelos y efectos de interacción restantes.
Estos efectos de interacción se pueden dividir en efectos de dominio, que son interacciones entre alelos en el mismo lugar y efectos epistáticos que son interacciones entre alelos en diferentes loci.
Pero quizás vamos demasiado rápido y hemos introducido algunos conceptos que el lector no habituado a leer sobre genética le resulte difícil comprender.
De entre los conceptos que hemos expuesto hasta ahora resulta conveniente describir lo que significa alelo, fenotipo, genotipo y locus.
Un alelo es cada una de las formas alternativas que puede tener un gen como consecuencia de una secuencia distinta para cada uno de ellos. Esta diferencia hace que pueda haber modificaciones concretas en la forma en que se expresa dicho gen.
Locus (como es una palabra que procede del latín, el plural es loci) es una posición fija dentro de un cromosoma que determina la posición de un gen o marcador. Por tanto un mismo locus puede contar con diferentes alelos para distintos individuos.
Genotipo es el conjunto de genes que existen e el núcleo celular de cada una de las células con núcleo de un individuo.
Fenotipo es el conjunto de caracteres visibles que un individuo presenta como resultado de la interacción entre su genotipo y el medio.
Tras este breve paréntesis continuaremos con la descripción del concepto de modelos genéticos.
Como ya habíamos mencionado, los diferentes efectos de interacción se podían dividir entre efectos dominio, que son interacciones entre alelos en el mismo lugar y efectos epistáticos que son interacciones entre alelos en diferentes loci.
De esta forma podemos en la ecuación original del modelo básico podemos desarrollar el valor genotípico como la suma de los efectos aditivos genéticos, de dominancia y epistáticos, o lo que es lo mismo: G=Ad+D+E
Debido a que los gametos son haploides, los padres transmiten solo un conjunto de cromosomas a su descendencia.
Por lo tanto, solo el efecto genético aditivo se transmite de padres a hijos.
El dominio y los efectos epistáticos no se transmiten de padres a hijos.
En consecuencia, el efecto genético aditivo se conoce como el valor genético y es un factor de suma importancia en la crianza canina, dado que el objetivo en la crianza canina consiste en mejorar la próxima generación por selección. En consecuencia, los criadores están o deberían estar interesados principalmente en los valores de reproducción de sus ejemplares.
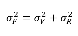
Dicho esto, ahora podemos simplificar el modelo genético en la siguiente forma:
F= V+R
Donde el valor fenotípico va a estar formado por el valor de reproducción más un efecto residual que incluye los efectos ambientales, pero también la dominancia y el efecto epistático.
En resumen, el valor genotípico puede descomponerse en un aditivo genético, un dominio y un efecto epistático.
Los padres transmiten solo el efecto genético aditivo o el valor de reproducción a sus descendientes.
Por esta razón, el modelo genético generalmente se simplifica, entonces, para que el valor fenotípico sea la suma del valor de reproducción y un efecto residual.
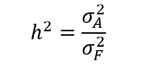
Llegado este momento resulta conveniente introducir el concepto de heredabilidad.
Uno de los conceptos clave en la cría de perros y de los animales en general es la heredabilidad.
Como acabamos de mencionar, la varianza fenotípica es la suma de la varianza genética aditiva y la varianza de efectos residuales.
Comúnmente usamos el símbolo sigma al cuadrado para denotar la varianza.
Entonces podemos decir que:

La heredabilidad se define como la proporción de variación fenotípica debido a los efectos genéticos aditivos. En otras palabras, la heredabilidad es la parte de la varianza fenotípica. explicado por las diferencias en los valores de reproducción entre los individuos.
De forma matemática, quedaría expresado de la siguiente forma:

También podemos interpretar la heredabilidad como un coeficiente de regresión.
La heredabilidad es el coeficiente de regresión del fenotipo de una descendencia. en el fenotipo promedio de sus padres.
Para que resulte más gráfico, imaginemos que en el siguiente gráfico representamos figurativamente la altura a la cruz promedio de los padres y la altura a la cruz de diferentes descendientes en una raza, por ejemplo en el Gascon Saintongeois.

Este diagrama de dispersión muestra que los padres que tienen una estatura más alta en promedio también tienen descendencia con una estatura más alta y viceversa, los ejemplares que tienen una estatura más baja, tienen en promedio una estatura más baja.
Este factor fue el utilizado para derivar el Pequeño Gascón Saintongeos a partir del Gascón Saintongeois y también para obtener el Pequeño Sabueso Azul de Gascuña a partir del Sabueso Azul de Gascuña.
Si realizamos un ajuste matemático de los datos mediante una línea de regresión a través de todos los pares de padres e hijos, la pendiente de la línea de regresión es igual a la heredabilidad.
En este caso, la heredabilidad es igual a 0,41. Esto significa que el 41% de la superioridad fenotípica de los padres se transmite a sus hijos.
Por ejemplo, cuando los padres son 5 cm más altos que el promedio, los descendientes de esos perros serán en promedio 2 cm más altos. Esto muestra que la heredabilidad es la proporción de variación heredable, la parte que se hereda de padres a hijos.
En los animales, existe la tendencia de que algunos grupos de rasgos tengan una alta heredabilidad, mientras que otros tienen una baja heredabilidad.
Por ejemplo, rasgos morfológicos en los perros como la estatura o la longitud de las extremidades tiene heredabilidades superiores a 0,4 Rasgos como el peso corporal o el temperamento tienen herencias moderadas, típicamente en el rango de 0.2 a 0.4. Rasgos relacionados con la calidad reproductiva, como la supervivencia de los cachorros, calidad del semen o la fertilidad tienen heredabilidades bajas, generalmente por debajo de 0.2.
En la siguiente tabla se proporcionan valores típicos de heredabilidad para diferentes rasgos de los perros obtenido de publicaciones de Willis, M.B. y Weitzman, N.
| RASGO | Willis | Weitzman |
| Peso corporal (60 días) | 40 % | N.D. |
| Musculatura | N.D. | 40-50 % |
| Tipo racial | N.D. | 20-30 % |
| Altura a la cruz | 40-65 % | 50-75 % |
| Longitud del cuerpo | 40 % | 50-60 % |
| Profundidad del pecho | 50 % | 40-60 % |
| Anchura de pecho | 80 % | 40-60 % |
| Longitud de la cabeza | N.D. | 20-30 % |
| Longitud de hocico | 50 % | N.D. |
| Stop | N.D. | 20-30 % |
| Inserción de orejas | N.D. | 20-30 % |
| Forma del ojo | N.D. | 20-30 % |
| Dientes (número, posición, mordida) | N.D. | 20-30 % |
| Cuello (circunferencia) | 40 % | N.D. |
| Cuello (longitud) | N.D. | 40-50 % |
| Cuartos delanteros | N.D. | 40-50 % |
| Angulación del hombro | N.D. | 40-60 % |
| Longitud del húmero | N.D. | 40-60 % |
| Húmero (angulación) | N.D. | 40-60 % |
| Manos delanteras (forma) | N.D. | 40-60 % |
| Conjunto de patas delanteras | N.D. | 50-75 % |
| Línea dorsal | N.D. | 40-50 % |
| Lomo (curvatura) | N.D. | 40-50 % |
| Cuartos traseros | N.D. | 25-45 % |
| Grupa (longitud/inclinación) | N.D. | 25-45 % |
| Inserción del rabo | N.D. | 25-45 % |
| Rodilla | N.D. | 25-45 % |
| Longitud del corvejón | 50 % | N.D. |
| Forma de pies | N.D. | 25-45 % |
| Movimiento | N.D. | 25-45 % |
| Pigmentación (nariz, ojos, párpados) | N.D. | 45-60 % |
| Temperamento / disposición | 30-50 % | 20-35 % |
| Nerviosismo | 50 % | N.D. |
| Aptitud para cazar | 10-30 % | N.D. |
| Calidad del semen | 15 % | N.D. |
| Fertilidad | 10-15 % | N.D. |
| Tamaño de la camada | 10-20 % | N.D. |
| Supervivencia neonatal | 10-15 % | N.D. |
Aunque la definición de heredabilidad es clara, existen conceptos erróneos comunes.
A continuación expondremos los tres errores más habituales a la hora de entender el concepto de heredabilidad.
El primer error es que muchos criadores piensan que una heredabilidad de 0.3 significa que el 30% del rasgo está determinado por genes, algo que es incorrecto. Una heredabilidad del 0,3 significa que el 30 % de la variación fenotípica se debe a efectos genéticos.
El segundo error que comenten muchas personas es pensar que una heredabilidad de cero significa que el rasgo no está determinado por los genes, pensamiento que también es incorrecto. Por ejemplo, en el Sabueso Azul de Gascuña no hay variación hereditaria en el color del pelo, porque este rasgo está genéticamente determinado y todos los ejemplares son del color típico del Sabueso Azul de Gascuña.
El tercer error es que una baja heredabilidad significa que la variación heredable no es importante. Esto podría ser cierto en algunos casos, pero no siempre. Por ejemplo, podríamos tener en alguna raza canina que la heredabilidad de su longevidad es de solo 0.15, pero la desviación estándar de los valores de cría es de 240 días.
Estas grandes diferencias heredables son muy importantes en la cría de perros. En este caso, la heredabilidad es baja porque la desviación estándar fenotípica es mucho mayor que la desviación estándar de los valores genéticos.
En resumen, la heredabilidad es la relación entre la varianza genética aditiva y la varianza fenotípica y los rasgos difieren en heredabilidad.
Una vez que hemos trabajado con el concepto de heredabilidad e introducido unos conceptos básicos, vamos a analizar lo que significa el valor de cría y como nos puede servir para seleccionar nuestros reproductores.
El valor de reproducción no es más que un valor que se da a un animal en particular para indicar su valor para la cría en un determinado programa de reproducción. Esto significa que el valor de reproducción depende de los rasgos que se buscan, y que por tanto depende de los rasgos que hemos definido como importantes para nuestro programa de cría. Un valor de reproducción se define como una desviación de la media de la población, lo que significa que los animales con un valor de reproducción positivo tienen un potencial genético que es mejor que el promedio de la población, y los animales con un valor de reproducción negativo son menos valiosos que el promedio de la población.
Cuando se determinan los valores de reproducción para un determinado grupo de perros para una determinada combinación de rasgos o un único rasgo, podemos clasificar a los ejemplares de acuerdo con estos valores de reproducción. Por ejemplo, si buscamos criar animales con mayor alzada a la cruz, se puede clasificar a los ejemplares en función de su valor de cría para el rasgo "altura a la cruz" y de esta forma seleccionar los que tengan el mayor valor de cría como progenitores para la próxima generación de animales.
Lo mismo ocurre en caso de que queramos seleccionar una determinada angulación o queramos fijar determinados rasgos de la cabeza.
De esta forma, como se puede comprender, habrá rasgos que resulten fácilmente medibles (por ejemplo la altura a la cruz) y otros que resulten medibles de una forma más subjetiva (por ejemplo si queremos seleccionar según el tipo). En cualquier caso, la clave para poder desarrollar un programa de cría va a ser definir que rasgos queremos mejorar, medir esos rasgos dentro de la población a la que tengamos acceso y una vez realizadas las medidas o valoración de rasgos oportunas proceder a la selección de los mejores reproductores. Para esa selección, conocer el valor de cría de una población de perros resulta de gran utilidad y es algo que se hace asiduamente en la selección de las diferentes razas de producción ganadera, algo que ha permitido mejorar de forma significativa la producción de leche, carne, lana, etc. en todas estas razas. En el caso de los perros, nos encontramos varias limitaciones. Por un lado, muchas veces los rasgos que se quieren seleccionar no resultan fácilmente medibles o están sujetos a cierta subjetividad (por ejemplo si seleccionamos según tipo) y por otro lado, resulta muy complicado obtener datos de las poblaciones de una raza determinada, bien porque no es habitual realizar este tipo de medidas, bien porque esta información no se suele compartir.
Y, de hecho, el valor genético es un concepto central en la cría de animales.
Pero, ¿cuál es este valor de reproducción y por qué los criadores están tan obsesionados con él?
El punto clave es que el valor genético de un individuo predice el rendimiento de su descendencia.
Para comprender la importancia del valor genético, veamos primero el objetivo general de la críanza de perros.
Los criadores intentan mejorar la calidad promedio de sus ejemplares a lo largo del tiempo con el fin de que estos se adecuen en mayor medida al estándar de cada raza.
En otras palabras, la próxima generación debe ser mejor que la actual, y esto es algo, que a pesar de que se ha realizado en muchas ocasiones sin un soporte científico, se ha ido logrando con el paso del tiempo en buena parte de las razas.
Pero, ¿cómo se asegura de que la próxima generación sea mejor que la actual? En otras palabras, ¿qué individuos debemos seleccionar como padres para la próxima generación?
Para maximizar el rendimiento de la próxima generación, debemos seleccionar los padres que dan la mejor descendencia. Pero, ¿cómo podemos encontrar a esos padres? ¿Son simplemente los que tienen los mejores fenotipos?
Para ello, volveremos a recurrir al concepto de fenotipo. El fenotipo de un animal depende no solo de sus genes, sino también del medio ambiente. Por ejemplo, si proporcionamos a una camada buena alimentación y cuidados lo más probable es que los cachorros se desarrollen de forma óptima e incluso puedan ser algo más altos que sus padres. Por lo tanto, podemos modelar el valor fenotípico de un animal como valor genético más un efecto ambiental.
Decimos que: valor fenotípico = valor genotípico + efecto ambiental. O en resumen: F = G + A
El efecto ambiental no se transmite a la descendencia. El efecto ambiental, por lo tanto, no es parte del valor de mejoramiento.
Ahora veamos el valor genotípico.
La descendencia hereda los genes de sus padres, pero ¿realmente heredan el valor genotípico?
La respuesta es no. La razón es que los perros, al igual que todos los mamíferos son diploides. Diploide significa que llevan dos alelos, indicados aquí por A1 y A2. Un alelo se hereda del padre y el otro de la madre.
En la herencia mendeliana, el genotipo se divide durante la meiosis, y se producen gametos que llevan un solo alelo. En otras palabras, los gametos son haploides. Como los gametos son haploides, la descendencia no hereda genotipos completos, pero heredan un solo alelo en cada locus.
Por lo tanto, para predecir el rendimiento de la descendencia, debemos considerar los efectos de los alelos, en lugar de los genotipos.
Esta es la diferencia clave entre el valor genotípico y el valor genético: el valor genotípico representa el efecto de todo el genoma de un individuo, mientras que el valor genético, en contraste, representa los efectos de los alelos en un individuo.
El valor genotípico puede diferir del valor reproductivo porque los alelos pueden interactuar entre sí. Esto puede ocurrir tanto dentro como entre loci. En otras palabras, el efecto de un alelo puede depender de los otros alelos presentes en el genotipo.
Por ejemplo, imaginemos una enfermedad de carácter recesivo. El alelo recesivo A2 afecta el valor fenotípico solo cuando el otro alelo también es A2.Solo en ese caso el ejemplar enfermará.
Si el alelo recesivo está acompañado por un alelo dominante, indicado por A1, entonces el fenotipo no se ve afectado. Parte del valor genotípico, por lo tanto, se origina de interacciones entre alelos.Por lo tanto, podemos dividir el valor genotípico en efectos de alelos, y los efectos restantes de interacción.
El valor de reproducción es la suma de los efectos de todos los alelos en un individuo, y generalmente se denota con el símbolo A. Las interacciones entre alelos en el mismo lugar se llaman dominio, mientras que las interacciones entre alelos en diferentes loci se llaman epistasis.
Debido a que un padre transmite la mitad de sus alelos a su descendencia, la mitad del valor de reproducción es heredado por la descendencia. El dominio, los componentes epistáticos y ambientales del fenotipo no se heredan.
Los criadores, por lo tanto, deben centrarse en el valor de cría porque representa el efecto que se transmite a la descendencia.
Llegado este momento, cabe hacerse las siguientes preguntas ¿Qué ejemplares deberemos seleccionar para la cría? ¿Cómo podemos saber el valor de un animal para la cría?
Para ello, resulta una herramienta imprescindible estimar el valor de reproducción y luego seleccionar aquellos animales que tienen los mejores valores de reproducción.
Supongamos que queremos mejorar la altura a la cruz dentro de nuestro programa de cría. Para ello, será necesario medir la altura a la cruz de nuestros reproductores, así como de los diferentes perros que hemos ido criando. Si además podemos completar esta información con datos de perros que veamos en las exposiciones, mucho mejor. A la hora de realizar esta medición lo podemos en este caso es sencillo de medir. Si quisiéramos seleccionar con otros rasgos deberemos recurrir a valoraciones subjetivas, como por ejemplo si queremos mejorar la tipicidad de las cabezas. La elección de uno u otro conjunto de datos dependerá del rasgo que queremos mejorar.
Para estimar el valor reproductivo de ejemplar vamos a necesitar obtener tres datos.
Por un lado, necesitaremos conocer el propio valor de la altura a la cruz del ejemplar que queramos evaluar. Supongamos que en este caso se trata de un macho de altura a la cruz de 64 cm.
También necesitaremos conocer el promedio del valor de la altura a la cruz para la población que estemos considerando. Esto se puede hacer con los perros que tengamos en nuestro criadero, o si tenemos opción de acceder a perros del resto de criadores, para el conjunto de perros a los que tengamos acceso. Supongamos que en este caso el promedio obtenido es de 60 cm.
En el caso del Gascón Saintongeois, la altura a la cruz es diferente en machos y hembras, por lo que es necesario a la hora de considerar el promedio de la altura a la cruz, tan solo la media de ejemplares machos. Si estuviéramos midiendo el valor reproductivo de una hembra, tomaríamos como valor medio el dato promedio para la altura a la cruz de hembras.
Finalmente, es necesario un coeficiente de regresión que relacione el valor de reproducción con el valor propio del ejemplar a considerar.
A partir de estos datos se dibuja la regresión de los valores genéticos de los animales en sus propios fenotipos.
La pendiente de esta regresión se llama coeficiente de regresión. En el caso del rendimiento propio, el coeficiente de regresión es la heredabilidad, que es algo que ya hemos visto. En el caso de la altura a la cruz, obteníamos que la heredabilidad sería de 0,41
Para calcular el valor reproductivo estimado, o VRE, primero se resta la media poblacional del valor individual del ejemplar que estamos estudiando. En este caso sería 64 cm.-60 cm., con lo que obtenemos una desviación fenotípica de 4.
A este valor lo debemos multiplicar por la heredabilidad, que en este caso era 0,41. Por tanto obtendríamos un valor de cría para el ejemplar que estamos estudiando de 1,64. Estos mismos cálculos lo podemos ir haciendo para cada uno de los ejemplares que queramos considerar para nuestro programa de cría, de esta forma podríamos obtener un listado de los perros ordenados en función de su valor de cría. ¿Qué ocurre si en lugar de lograr una descendencia con mayor altura a la cruz, quisiéramos reducirla? En ese caso nos tendríamos que quedar con ejemplares que tuvieran un valor de cría negativo.
A veces no es sencillo calcular la heredabilidad de un rasgo determinado por falta de datos. En ese caso, deberemos recurrir a la tabla que hemos incluido en el artículo donde se proporcionan heredabilidades estimadas a partir del trabajo de Willis y Weitzman. Como podemos ver en la tabla, normalmente se da un rango bastante amplio. Cuando el ejemplar considerado tenga cierta consanguinidad podremos coger el valor superior del rango, y cuando se trate de un ejemplar con nula o poca consanguineidad deberemos tomar el valor inferior del rango.
En este ejemplo se ha utilizado el valor del propio perro que estábamos analizando, pero por suerte los científicos han desarrollado fórmulas y modelos que nos permiten calcular el valor de cría de un animal a partir de la información obtenida de parientes, como los padres o los descendientes.
En la siguiente tabla se muestran las funciones para calcular los coeficientes de regresión. para estimar los valores de reproducción basados en información de diferentes tipos de parientes, como descendientes de hermanos completos, medio hermanos o abuelos.

Bibliografía
Orlandi, C. (2011). ABC´s of dog breeding. Home study program for dog breeders. Autoedición. Essex Junction (Estados Unidos)
Willis, M.B. (1991) Dalton’s introduction to practical animal breeding. Blackwell Science. Cornwall. Inglaterra
Willis, M.B. (1989 Genetics of the Dog. Howell. Nueva York (Esados Unidos).
Willis, M.B. (1992). Practical genetics for dog breeders. Howell. Nueva York (Estados Unidos).
Weitzman, N. (1992). The serious breeder: genetics. Good Dog Magazine. Austin (estados Unidos).